Column Major Order 3d Array


Multidimensional Aaray Gate Overflow

Multidimensional Aaray Gate Overflow

Https Encrypted Tbn0 Gstatic Com Images Q Tbn 3aand9gctixvr64pm3zhehcusjjsj 2 Gtrnsgdfxoksfxzu2irtryjvh6 Usqp Cau

Https Encrypted Tbn0 Gstatic Com Images Q Tbn 3aand9gctixvr64pm3zhehcusjjsj 2 Gtrnsgdfxoksfxzu2irtryjvh6 Usqp Cau

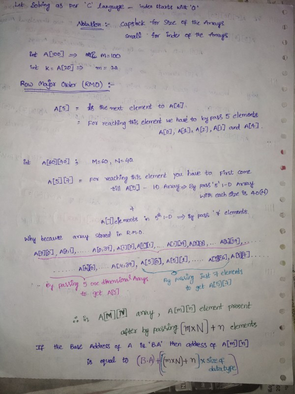
Data Structures Chapter 2 Arrays 2 1 Four Components In A C

Data Structures Chapter 2 Arrays 2 1 Four Components In A C

Lesson 11 Multidimensional Arrays In C Net

Lesson 11 Multidimensional Arrays In C Net

Calculating Address Of Row Major And Column Major 1d 2d 3d Youtube

Calculating Address Of Row Major And Column Major 1d 2d 3d Youtube