Magnitude Of A 3d Vector Calculator


Vector Magnitude Angle Calculator

Vector Magnitude Angle Calculator

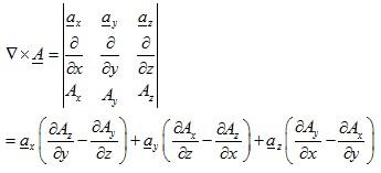
Curl Of A Vector Field Web Formulas

Curl Of A Vector Field Web Formulas

Capacitor Impedance Calculator Electrical Engineering

Capacitor Impedance Calculator Electrical Engineering

Wolfram Alpha Performs Vector Operations Wolfram Alpha Blog

Wolfram Alpha Performs Vector Operations Wolfram Alpha Blog

Dot Product Calculator

Dot Product Calculator